Medieninformation
Abwasseranalyse 2024:
Drogenkonsum im Vergleich: Österreich bleibt im europäischen Mittelfeld
Die Drogenagentur der Europäischen Union (EUDA) mit Sitz in Lissabon veröffentlicht jährlich im März die Ergebnisse des abwasserbasierten Drogenmonitorings. Die Analyse für Österreich – seit 2016 durch das Abwasserlabor am Institut für Gerichtliche Medizin (GMI) der Medizin Uni Innsbruck durchgeführt – zeigt auch für 2024 gleichbleibende Trends. Cannabis bleibt die am häufigsten konsumierte verbotene Substanz, der Verbrauch von Kokain steigt weiter an.
Pressebild und PDF’s zum Herunterladen:
BU: Herbert Oberacher, Leiter des Abwasserlabors am Institut für Gerichtliche Medizin Innsbruck, führt seit 2016 die Analysen für Österreich durch. (Foto: MUI / D. Bullock)
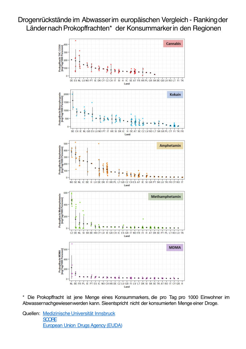
BU: Drogenrückstände im Abwasser im europäischen Vergleich – Ranking der Länder nach Prokopffrachten* der Konsummarker in den Regionen
BU: Drogenrückstände im Abwasser im europäischen Vergleich – Ranking der österreichischen Regionen nach Prokopffrachten* der Konsummarker
Innsbruck, am 18. März 2025: Um Vergleichswerte und Trends des Drogenkonsums über Ländergrenzen hinweg feststellen zu können, wird das abwasserbasierte Drogenmonitoring in europäischen Städten schon seit Jahren erfolgreich eingesetzt. Die Abwasseranalysen liefern wichtige Informationen für die Lagebeurteilung, auf Basis derer gesundheitspolitische Strategien erarbeitet, evaluiert und angepasst werden können.
Für den Drogenbericht der EUDA wurden im Jahr 2024 europaweit die Abwässer von insgesamt 135 Städten und Regionen untersucht, darunter 17 Kläranlagen in Österreich (insges. rund 190 Gemeinden), sowie einer Südtiroler Kläranlage. „Österreich liefert damit dreizehn Prozent aller europäischen Datensätze“, berichtet Herbert Oberacher, Leiter des Abwasserlabors am GMI (Direktorin: Elke Doberentz) der Med Uni Innsbruck. Seine Untersuchung lässt Rückschlüsse auf den Drogenkonsum von 3,5 Millionen Menschen in Österreich und Südtirol zu.
Für die jährliche SCORE-Studie wurden im Frühjahr und Frühsommer 2024 über einen Zeitraum von einer Woche täglich Proben vom Zufluss der Kläranlagen entnommen und von den Expert:innen des GMI mithilfe modernster analytisch-chemischer Verfahren ausgewertet. Untersucht wurden die Konsummarker (Drogen bzw. deren Stoffwechselprodukte) der Suchtgifte Tetrahydrocannabinol (THC, Wirkstoff in Cannabis), Kokain, Amphetamin (Wirkstoff in Speed), 3,4-Methylendioxy-N-methylamphetamin (MDMA, Wirkstoff in Ecstasy) und Methamphetamin (Wirkstoff in Crystal Meth), sowie Alkohol und Nikotin.
Konsumverhalten im Detail:
„Eine Einwohnerin bzw. ein Einwohner aus einer der 17 untersuchten Regionen in Österreich trinkt im Schnitt täglich etwas mehr als ein Glas Wein, raucht 3 bis 4 Zigaretten und konsumiert 0,07 Joints sowie rund 1,5 Milligramm an aufputschenden Drogen“, veranschaulicht Chemiker Herbert Oberacher die Ergebnisse der Abwasseranalyse für Österreich. Auch 2024 findet sich keine einzige der in Österreich und Südtirol überwachten Regionen unter den zehn umsatzstärksten Regionen Europas.
Eine besondere Stärke des abwasserbasierten Drogenmonitorings ist die Möglichkeit des Vergleichs unterschiedlicher Regionen. So ergab die Analyse, dass der Pro-Kopf-Konsum an Alkohol und Nikotin innerhalb Österreichs relativ einheitlich ist. Bei den verbotenen Drogen bietet sich ein weniger homogenes Bild: In allen Regionen war Cannabis die dominierende Droge, wobei der THC-Konsum im urbanen Raum höher ist, als in ländlichen Gegenden. Die mittlere tägliche Konsummenge an THC lag bei 11 Gramm pro 1.000 Einwohner:innen. Den höchsten Pro-Kopf-Verbrauch an THC verzeichnete im Jahr 2024 Wien. Unter den Stimulanzien ist Kokain die umsatzstärkste Droge, hier lag die mittlere tägliche Konsummenge bei 1.4 Gramm pro 1.000 Einwohner:innen. In Westösterreich und Südtirol wird Kokain pro Kopf in größeren Mengen konsumiert, als in Ostösterreich; den höchsten Pro-Kopf-Verbrauch an Kokain verzeichnete Kufstein.
Die größten Pro-Kopf-Konsummengen des Wirkstoffs Amphetamin (Speed) ließen sich in Ried im Innkreis nachweisen, beim Konsum von Metamphetamin (Crystal Meth) führt Wien. Der MDMA (Ecstasy) Konsum scheint in urbanen Regionen höher zu sein, als in ländlichen, der Spitzenwert wurde dennoch mit der Region Purgstall in einer eher ländlichen Region beobachtet. Die West-Ost-Verteilung von Stimulanzien und synthetischen Drogen ist nicht auf Österreich beschränkt, sondern spiegelt sich in Europa wider.
In Südtirol scheint der Pro-Kopf-Konsum der untersuchten Genuss- und Suchtmittel niedriger als in Österreich zu sein. Ein Vergleich von Süd- und Nordtirol lässt sich anhand der Daten aus den Landeshauptstädten anstellen: In Bozen war der Pro-Kopf-Verbrauch von allen untersuchten Substanzen geringer als in Innsbruck.
Anhand der Abwasseranalyse lassen sich auch Konsummuster erkennen: So wurden in vielen Regionen am Wochenende höhere Alkohol-, Kokain-, und MDMA-Umsätze als an Wochentagen festgestellt, was für deren Verwendung als „Partydrogen“ spricht.
Regelmäßige Abwasseranalysen ermöglichen das Erkennen von zeitlichen Trends am Drogenmarkt. „Eine Entwicklung, die wir seit Jahren in Österreichs Abwässern beobachten, ist die Zunahme der Menge an Kokainrückständen“, erklärt Studienleiter Oberacher.
Zur Person:
Herbert Oberacher ist Professor für Metabolomics und Bioanalytische Massenspektrometrie am Institut für Gerichtliche Medizin der Medizinischen Universität Innsbruck. Einer seiner Forschungsschwerpunkte ist die Abwasserepidemiologie. Sein Labor ist die einzige Einrichtung Österreichs, die für die Teilnahme am europäischen SCORE-Programm zertifiziert ist und außerdem auch Österreichisches Referenzlabor für Abwassermonitoring. Unter seiner wissenschaftlichen Leitung werden im Rahmen des Abwassermonitorings die Abwässer von österreichweit mehr als 50 Kläranlagen auf die Belastung mit SARS-CoV-2, Influenza und RSV (Respiratorisches Synzytial Virus, Hand-Fuß-Mundkrankheit) analysiert. Herbert Oberacher leitet zudem die Core Facility für Metabolomics.
Aktuelle Ergebnisse für Europa im Detail:
PR & Medien
Für Rückfragen:
Univ.-Prof. Dr. Herbert Oberacher
Institut für Gerichtliche Medizin
Medizinische Universität Innsbruck
E-Mail: Herbert.Oberacher@i-med.ac.at
Medienkontakt:
Medizinische Universität Innsbruck
Public Relations und Medien
Barbara Hoffmann-Ammann
Innrain 52, 6020 Innsbruck, Austria
Telefon: +43 512 9003 71830
public-relations@i-med.ac.at
www.i-med.ac.at



