Medieninformation
Achtung SPERRFRIST: 18. März 2026, 00:01 Uhr MEZ
Abwasseranalyse 2025
Europäisches Drogenmonitoring: Steigender Kokainkonsum hält auch in Österreich an
Der jährliche Bericht zu den Ergebnissen des abwasserbasierten Drogenmonitorings wurde heute von der Drogenagentur der Europäischen Union (EUDA) mit Sitz in Lissabon veröffentlicht. Die vom Institut für Gerichtliche Medizin (GMI) der Medizin Uni Innsbruck durchgeführte Analyse für Österreich zeigt auch für 2025 gleichbleibende Trends. Cannabis bleibt die am häufigsten konsumierte verbotene Substanz, der Verbrauch von Kokain steigt weiter an.
Pressebilder zum Herunterladen:
Herbert Oberacher, Leiter des Abwasserlabors am Institut für Gerichtliche Medizin Innsbruck. (c)MUI/D. Bullock
Am Institut für Gerichtliche Medizin Innsbruck werden die Abwasserproben analysiert. (c)MUI/C. Simon
Drogenrückstände im Abwasser im europäischen Vergleich - Ranking der Länder nach Prokopffrachten der Konsummarker in den Regionen.
Innsbruck, am 18. März 2026: Das abwasserbasierte Drogenmonitoring in europäischen Städten wird bereits seit Jahren erfolgreich eingesetzt, um Vergleiche und Trends des Drogenkonsums über Ländergrenzen hinweg darstellen zu können. Die Abwasseranalysen liefern wichtige Informationen zur Beurteilung der Lage, auf deren Basis gesundheitspolitische Strategien erarbeitet, evaluiert und angepasst werden können.
Für den Drogenbericht der EUDA wurden im Jahr 2025 europaweit die Abwässer von insgesamt 131 Städten und Regionen untersucht, darunter 18 Kläranlagen in Österreich (insges. rund 190 Gemeinden, die Region Purgstall fiel weg, die Regionen Guntramsdorf und Hallstätter See kamen hinzu), sowie einer Südtiroler Kläranlage. „Österreich liefert damit vierzehn Prozent aller europäischen Datensätze“, berichtet Herbert Oberacher, Leiter des Abwasserlabors am GMI (Direktorin: Elke Doberentz) der Med Uni Innsbruck. Mit den 18 Regionen werden nahezu 40 Prozent der Bevölkerung erreicht. Wien, Graz, Salzburg und Innsbruck sind die einwohnerstärksten Regionen. Dort werden bezogen auf die Gesamtfracht die größten Drogenmengen im Abwasser beobachtet.
Neu im Monitoring-Programm: Narkosemittel Ketamin
Für die jährliche SCORE-Studie wurden im Frühjahr und Frühsommer 2025 über einen Zeitraum von einer Woche täglich Proben vom Zufluss der Kläranlagen entnommen und mithilfe modernster analytisch-chemischer Verfahren ausgewertet. Untersucht wurden die Konsummarker (Drogen bzw. deren Stoffwechselprodukte) der Suchtgifte Tetrahydrocannabinol (THC, Wirkstoff in Cannabis), Kokain, Amphetamin (Wirkstoff in Speed), 3,4-Methylendioxy-N-methylamphetamin (MDMA, Wirkstoff in Ecstasy) und Methamphetamin (Wirkstoff in Crystal Meth), sowie Alkohol und Nikotin.
Neu im Programm ist das Monitoring von Ketamin. Ketamin ist ein Arzneistoff, der als dissoziatives Anästhetikum wirkt. Er wird seit den 1970er-Jahren in der Human- und Tiermedizin zur Narkoseeinleitung und Schmerzbehandlung eingesetzt. Wegen seiner stark bewusstseinsverändernden Wirkung wird Ketamin auch als Rauschdroge konsumiert.
„Aufgrund der medizinischen Anwendung von Ketamin sollten die vorliegenden Ergebnisse mit entsprechender Vorsicht interpretiert werden. Dennoch ist langfristig ein Monitoring im Hinblick auf die missbräuchliche Verwendung sinnvoll, um mögliche zeitliche Trends frühzeitig erkennen und einordnen zu können.“, betont Herbert Oberacher.
Konsumverhalten im Detail
Eine zusammenfassende bildhafte Erklärung der Ergebnisse der Abwasseranalyse für Österreich liefert Chemiker Herbert Oberacher auch für 2025: „Eine Einwohnerin bzw. ein Einwohner aus einer der 18 untersuchten Regionen in Österreich trinkt im Schnitt täglich ein Glas Wein, raucht drei bis vier Zigaretten und konsumiert 0,07 Joints sowie rund zwei Milligramm an aufputschenden Drogen. Somit werden in Österreich täglich mehrere hundert Kilogramm an verbotenen Drogen konsumiert und Umsätze in Millionenhöhe erzielt“.
Regionale Unterschiede und zeitliche Trends
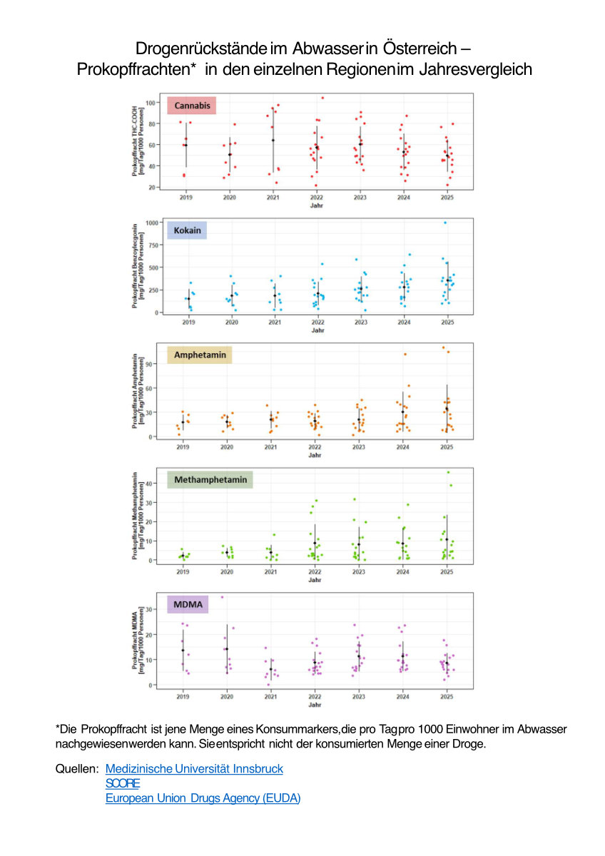
Die Möglichkeit des Vergleichs unterschiedlicher Regionen gilt als besondere Stärke des abwasserbasierten Drogenmonitorings. So ergab die Analyse, dass der Pro-Kopf-Konsum an Alkohol und Nikotin innerhalb Österreichs relativ einheitlich ist. Bei den verbotenen Drogen bietet sich ein weniger homogenes Bild: In allen Regionen war Cannabis die dominierende Droge, wobei der Konsum im urbanen Raum höher als in ländlichen Gegenden ist. Den höchsten Pro-Kopf-Verbrauch an Cannabis verzeichnete auch im Jahr 2025 Wien. Unter den Stimulanzien ist Kokain die umsatzstärkste Droge. In Westösterreich wird Kokain pro Kopf in größeren Mengen konsumiert als in Ostösterreich; den höchsten Pro-Kopf-Verbrauch an Kokain verzeichnete wie schon in den vergangenen Jahren Kufstein; beim Konsum von Amphetamin (Speed) und Methamphetamin (Crystal Meth) lässt sich wiederum ein Ost-West-Gefälle erkennen. Die größten Pro-Kopf-Konsummengen des Wirkstoffs Amphetamin ließen sich in Guntramsdorf und Ried im Innkreis nachweisen, beim Konsum von Metamphetamin (Crystal Meth) führen Wien und Wiener Neustadt. Auch der MDMA (Ecstasy) Konsum scheint in urbanen Regionen wie Wien, Graz oder Innsbruck höher zu sein als im ländlichen Raum.
„Obwohl in einzelnen Regionen vergleichsweise hohe Pro-Kopf-Frachten beobachtet wurden, bewegt sich der Drogenkonsum in Österreich im europäischen Vergleich insgesamt im Mittelfeld“, resümiert Oberacher.
In Südtirol scheint der Pro-Kopf-Konsum der untersuchten Genuss- und Suchtmittel niedriger als in Österreich zu sein. Ein Vergleich von Süd- und Nordtirol lässt sich anhand der Daten aus den Landeshauptstädten anstellen: Bis auf Kokain war In Bozen der Pro-Kopf-Verbrauch der untersuchten Substanzen geringer als in Innsbruck.
Anhand der Abwasseranalyse lassen sich auch Konsummuster erkennen: So wurden in vielen Regionen am Wochenende höhere Alkohol-, Kokain- und MDMA-Umsätze als an Wochentagen festgestellt, was für deren Verwendung als „Partydrogen“ spricht.
„Weiterhin ist ein Anstieg der Kokainrückstände im österreichischen Abwasser zu beobachten. Die seit mehreren Jahren dokumentierte Entwicklung verdeutlicht, wie zuverlässig sich Trends am Drogenmarkt mithilfe der europaweiten Abwasseranalyse erfassen lassen“, betont Studienleiter Herbert Oberacher.
Aktuelle Ergebnisse für Europa im Detail:
PR & Medien
Medienkontakt:
Medizinische Universität Innsbruck
Public Relations und Medien
Doris Heidegger
Innrain 52, 6020 Innsbruck, Austria
Tel. +43 512 9003-70083
Mobil +43 676 8716 72083
public-relations@i-med.ac.at, www.i-med.ac.at
Medienkontakt:
Medizinische Universität Innsbruck
Public Relations und Medien
Doris Heidegger
Innrain 52, 6020 Innsbruck, Austria
Tel. +43 512 9003-70083
Mobil +43 676 8716 72083
public-relations@i-med.ac.at, www.i-med.ac.at



